作者:聚创考研网-李老师 点击量:1221 2019-05-23
课程资料备考指导咨询加微信:H17720740258
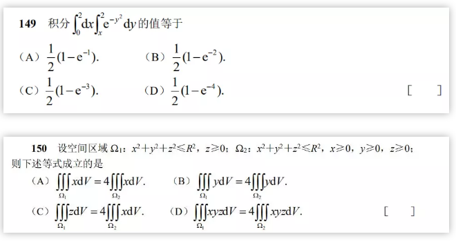
Part.74题目
》》练习题
》》答案解析

还在为数学是软肋而苦恼?
你可知
你的对手却已悄悄报班,复习进度甩你几条街了
聚创考研辅导班推荐
让名师为你解答
追上对手,甚至反超都有可能哦~
具体详情点击下方图片免费试听
推荐阅读:
1、过来人经验:考研数学什么辅导书比较好?张宇和李永乐哪个好?
以上是聚创考研网为考生整理的"2020年考研数学:二重积分的累次积分Part.74"的相关考研信息,希望对大家考研备考有所帮助! 备考过程中如有疑问,也可以添加老师微信juchuang911进行咨询。