内容详情

2020考研数学复习公式大全:【高等数学】——傅立叶级数

作者:聚创考研网-林老师 点击量:1316 2019-07-17

课程资料备考指导咨询加微信:H17720740258

考研数学,不同于英语政治,只要背好知识点就可以轻松很多。考研数学更需要活用知识点,如何活用知识点,那首先要记住考研数学会用到的相关公式,那考研数学的常用复习公式有哪些呢?

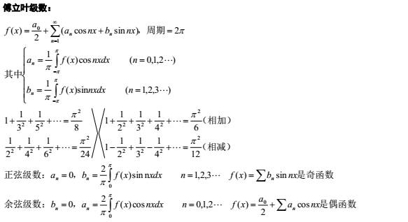
下面就是聚创考研信息网小编为大家整理的考研数学公式之【高等数学】傅立叶级数。

还在为数学是软肋而苦恼?

你可知

你的对手却已悄悄报班,复习进度甩你几条街了

聚创考研辅导班推荐

2020考研数学全程班

名师为你解答

追上对手,甚至反超都有可能哦~

还有资料下载

具体详情点击下方图片免费试听

推荐阅读:

1、【考研数学】之高等数学重要知识点-极限的命题规律

2、【复习指南】2020考研数学:概率部分30种常见题型考察,你都复习到了吗?


以上是聚创考研网为考生整理的"2020考研数学复习公式大全:【高等数学】——傅立叶级数"的相关考研信息,希望对大家考研备考有所帮助! 备考过程中如有疑问,也可以添加老师微信juchuang911进行咨询。

搜索不到想要的信息?联系在线客服或者添加微信咨询
取消
复制微信号