作者:聚创考研网-林老师 点击量:1615 2019-08-13
课程资料备考指导咨询加微信:H17720740258
考研数学,不同于英语政治,只要背好知识点就可以轻松很多。考研数学更需要活用知识点,如何活用知识点,那首先要记住考研数学会用到的相关公式,那考研数学的常用复习公式有哪些呢?
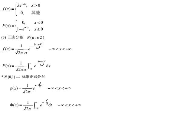
下面就是聚创考研信息网小编为大家整理的考研数学公式之【概率论与数理统计】连续型随机变量。

还在为数学是软肋而苦恼?
你可知
你的对手却已悄悄报班,复习进度甩你几条街了
聚创考研辅导班推荐
让名师为你解答
追上对手,甚至反超都有可能哦~
具体详情点击下方图片免费试听
推荐阅读:
2、【复习指南】2020考研数学:概率部分30种常见题型考察,你都复习到了吗?
以上是聚创考研网为考生整理的"2020考研数学复习公式大全:【概率论与数理统计】——连续型随机变量"的相关考研信息,希望对大家考研备考有所帮助! 备考过程中如有疑问,也可以添加老师微信juchuang911进行咨询。