作者:聚创中国科大考研网-a老师 点击量:1977 2017-01-03
课程资料备考指导咨询加微信:H17720740258
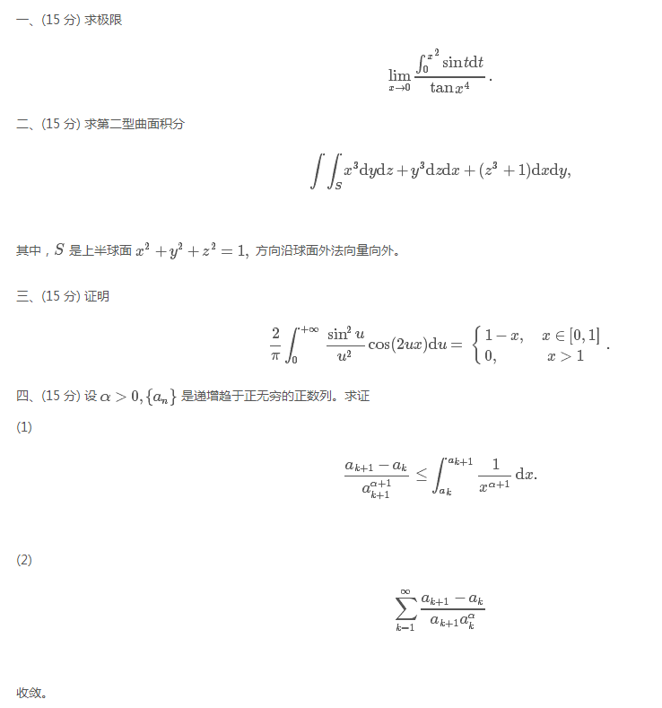
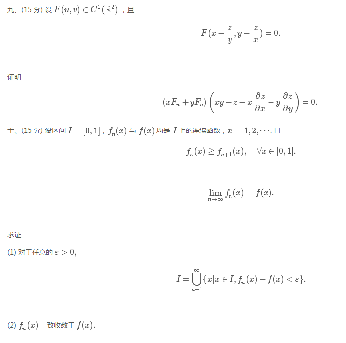
2017年考研初试已经结束了,聚英考研信息网第一时间为大家收集整理了中国科学技术大学2017年数学分析考研真题回忆版,决定2018考研学子们可以感受下,由于是网友们的回忆版,可能有些出入,欢迎各位学子纠正补充。
推荐阅读:
【汇总】2017年各院校新传考研专业课真题(回忆版)


以上是聚创考研网为考生整理的"中国科学技术大学2017年数学分析考研真题回忆版"的相关考研信息,希望对大家考研备考有所帮助! 备考过程中如有疑问,也可以添加老师微信juchuang911进行咨询。